Cambios de unidades de longitud 0001

, por F_y_Q

a) ¿Cuántos decímetros son 25 micrómetros?

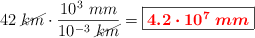
b) ¿Cuántos milímetros son 42 kilómetros?

c) ¿Cuántos picómetros son 120 kilómetros?

P.-S.

a) 25\ \cancel{\mu m}\cdot \frac{10^{-6}\ dm}{10^{-1}\ \cancel{\mu m}} = \fbox{\color{red}{\bm{2.5\cdot 10^{-4}\ dm}}}

b) 42\ \cancel{km}\cdot \frac{10^3\ mm}{10^{-3}\ \cancel{km}} = \fbox{\color{red}{\bm{4.2\cdot 10^7\ mm}}}

c) 120\ \cancel{km}\cdot \frac{10^3\ pm}{10^{-12}\ \cancel{km}} = \fbox{\color{red}{\bm{1.2\cdot 10^{17}\ pm}}}