Cambios de unidades entre distintos sistemas de unidades (5046)

, por F_y_Q

Completa la tabla siguiente:

P.-S.

Para hacer el ejercicio necesitaremos varias equivalencias y algunos cálculos que se repiten. Haré un cálculo de cada tipo y el resto se podrán hacer de manera análoga. Al final aparecerá la tabla resuelta.
Equivalencias.
1\ g = 2,2\cdot 10^{-3}\ lb
1\ mm\ Hg = 1,93\cdot 10^{-2}\ psi
1\ L = 3,53\cdot 10^{-2}\ ft^3
^oC = \frac{5}{9}(R - 491,67)

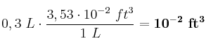
Conversiones de volumen.
0,3\ L\cdot \frac{3,53\cdot 10^{-2}\ ft^3}{1\ L} = \bf 10^{-2}\ ft^3
9,4\cdot 10^{-3}\ ft^3\cdot \frac{1\ L}{3,53\cdot 10^{-2}\ ft^3} = \bf 0,27\ L

Conversiones de presión.
13,92\ psi\cdot \frac{1\ mm\ Hg}{1,93\cdot 10^{-2}\ psi} = \bf 720\ mm\ Hg
640\ mm\ Hg\cdot \frac{1,93\cdot 10^{-2}\ psi}{1\ mm\ Hg} = \bf 12,38\ psi

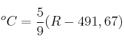
Conversión de temperatura.
^oC = \frac{5}{9}(533 - 491,67) = \bf 23^oC

Masa molar de A.
PV = \frac{m}{M}RT\ \to\ M = \frac{mRT}{PV} = \frac{0,7\ g\cdot 0,082\frac{atm\cdot L}{K\cdot mol}\cdot (23+273)\ K}{\frac{720\ mm\ Hg}{760\ mm\ Hg/atm}\cdot 0,3\ L} = \bf 60\frac{g}{mol}

Moles de gas B.
n = \frac{PV}{RT} = \frac{\frac{910\ mm\ Hg}{760\ mm\ Hg/atm}\cdot 0,27\ L}{0,082\frac{atm\cdot L}{K\cdot mol}\cdot (26,8 + 273)\ K} = \bf 1,31\cdot 10^{-2}\ mol

Conversión de densidad.
2,33\frac{g}{L}\cdot \frac{2,2\cdot 10^{-3}\ lb}{1\ g}\cdot \frac{1\ L}{3,53\cdot 10^{-2}\ ft^3} = \bf 0,14\frac{lb}{ft^3}
El resultado del ejercicio es: