Cambios de unidades al Sistema Internacional (SI) (13)

, por F_y_Q

Convierte a unidades SI:

a) 5.7\ \frac{cm^3}{min}

b) 1.5\ \frac{mm}{h}

c) 43\cdot 10^{-1}\  nm

d) 2\cdot 10^3\ \frac{Mg}{hm^3}

e) 23.4\ ms

f) 12.45\ \frac{dm}{s}

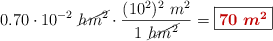
g) 0.70\cdot 10^{-2}\ hm^2

h) 4.3\cdot 10^2\ \frac{mg}{cm^3}

i) 23.4\cdot 10^{-2}\ \frac{kg}{min}

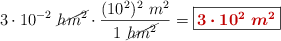
j) 3\cdot  10^{-2}\ hm^2

k) 18\  daL

l) 2.5\cdot 10^5\ ng

P.-S.

a) 5.7\ \frac{\cancel{cm^3}}{\cancel{min}}\cdot \frac{1\ m^3}{(10^2)^3\ \cancel{cm^3}}\cdot \frac{1\ \cancel{min}}{60\ s} = \fbox{\color[RGB]{192,0,0}{\bm{9.5\cdot 10^{-8}\ \frac {m^3}{s}}}}

b) 1.5\ \frac{\cancel{mm}}{\cancel{h}}\cdot \frac{1\ m}{10^3\ \cancel{mm}}\cdot \frac{1\ \cancel{h}}{3.6\cdot 10^3\ s} = \fbox{\color[RGB]{192,0,0}{\bm{4.17\cdot 10^{-7}\ \frac {m}{s}}}}

c) 43\cdot 10^{-1}\ \cancel{nm}\cdot \frac{1\ m}{10^9\ \cancel{nm}} = \fbox{\color[RGB]{192,0,0}{\bm{4.3\cdot 10^{-9}\ m}}}

d) 2\cdot 10^3\ \frac{\cancel{Mg}}{\cancel{hm^3}}\cdot \frac{10^3\ kg}{1\ \cancel{Mg}}\cdot \frac{1\ \cancel{hm^3}}{(10^2)^3\ m^3} = \fbox{\color[RGB]{192,0,0}{\bm{2\ \frac {kg}{m^3}}}}

e) 23.4\ \cancel{ms}\cdot \frac{1\ s}{10^3\ \cancel{ms}} = \fbox{\color[RGB]{192,0,0}{\bm{2.34\cdot 10^{-2}\ s}}}

f) 12.45\ \frac{\cancel{dm}}{s}\cdot \frac{1\ m}{10\ \cancel{dm}} = \fbox{\color[RGB]{192,0,0}{\bm{1.245\ \frac {m}{s}}}}

g) 0.70\cdot 10^{-2}\ \cancel{hm^2}\cdot \frac{(10^2)^2\ m^2}{1\ \cancel{hm^2}} = \fbox{\color[RGB]{192,0,0}{\bm{70\ m^2}}}

h) 4.3\cdot 10^2\ \frac{\cancel{mg}}{\cancel{cm^3}}\cdot \frac{1\ kg}{10^6\ \cancel{mg}}\cdot \frac{(10^2)^3\ \cancel{cm^3}}{1\ m^3} = \fbox{\color[RGB]{192,0,0}{\bm{4.3\cdot 10^2\ \frac{kg}{m^3}}}}

i) 23.4\cdot 10^{-2}\ \frac{kg}{\cancel{min}}\cdot \frac{1\ \cancel{min}}{60\ s} = \fbox{\color[RGB]{192,0,0}{\bm{3.9\cdot 10^{-3}\ \frac{kg}{s}}}}

j) 3\cdot  10^{-2}\ \cancel{hm^2}\cdot \frac{(10^2)^2\ m^2}{1\ \cancel{hm^2}} = \fbox{\color[RGB]{192,0,0}{\bm{3\cdot 10^{2}\ m^2}}}

k) 18\ \cancel{daL}\cdot \frac{10\ \cancel{L}}{1\ \cancel{daL}}\cdot \frac{1\ m^3}{10^3\ \cancel{L}} = \fbox{\color[RGB]{192,0,0}{\bm{0.18\ m^3}}}

l) 2.5\cdot 10^5\ \cancel{ng}\cdot \frac{1\ kg}{10^{12}\ \cancel{ng}} = \fbox{\color[RGB]{192,0,0}{\bm{2.5\cdot 10^{-7}\ kg}}}