Cambios de unidades a la unidad indicada (498)

, por F_y_Q

Realiza los cambios de unidades indicados:

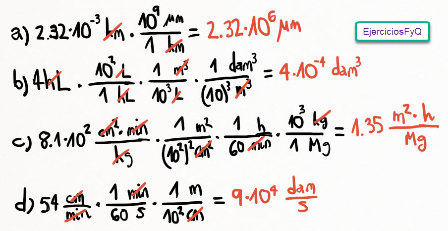
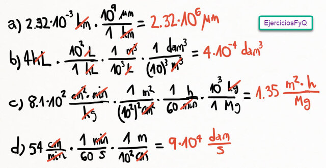
a) 2.32\cdot 10^{-3}\ km\ \to\ \mu m

b) 4\ hL\  \to\ dam^3

c) 8.1\cdot 10^2\ \frac{cm^2\cdot min}{kg}\ \to\ \frac{m^2\cdot h}{Mg}

d) 54\ \frac{cm}{min} \  \to\ \frac{dam}{s}

P.-S.

a)\fbox{\color[RGB]{192,0,0}{\bm{2.32\cdot 10^6\ \mu m}}}

b) \fbox{\color[RGB]{192,0,0}{\bm{4\cdot 10^{-4}\ dam^3}}}

c) \fbox{\color[RGB]{192,0,0}{\bm{1.35\ \frac{m^2\cdot h}{Mg}}}}

d) \fbox{\color[RGB]{192,0,0}{\bm{9\cdot 10^{-4}\ \frac{dam}{s}}}}