Cambio de unidades de densidad (2560)

, por F_y_Q

La densidad de una sustancia A es de 3\ \textstyle{g\over cm^3} , de otra B es 3\ 100\ \textstyle{kg\over m^3} y la de una tercera C es 2\ 600\ \textstyle{g\over dm^3} . Podemos afirmar que:

a) La mayor densidad corresponde a la sustancia A.

b) La mayor densidad corresponde a la sustancia B.

c) La mayor densidad corresponde a la sustancia C.

d) Las tres sustancias tienen la misma densidad.

P.-S.

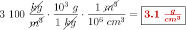
Basta con que expresar las tres cantidades en la misma unidad. Vamos a usar la menor de ellas como referencia, el \textstyle{g\over cm^3}:

3\ 100\ \frac{\cancel{kg}}{\cancel{m^3}}\cdot \frac{10^3\ g}{1\ \cancel{kg}}\cdot \frac{1\ \cancel{m^3}}{10^6\ cm^3} = \fbox{\color[RGB]{192,0,0}{\bm{3.1\ \frac{g}{cm^3}}}}



2\ 600\ \frac{g}{\cancel{dm^3}}\cdot \frac{1\ \cancel{dm^3}}{10^3\ cm^3} = \fbox{\color[RGB]{192,0,0}{\bm{2.6\ \frac{g}{cm^3}}}}


Por lo tanto se puede afirmar que la mayor densidad corresponde a la sustancia B.