Cambio de unidades (2891)

, por F_y_Q

Convierte a unidades SI, usando notación científica:

a) 7.82\ \frac{Mg\cdot cPa}{ms}

b) 0.15\ \frac{L}{cm^2}

c) 3\ 840 \ \frac{kcal}{g\cdot K} (1 cal = 4.18 J)

P.-S.

a) 7.82\ \frac{\cancel{Mg}\cdot \cancel{cPa}}{\cancel{ms}}\cdot \frac{10^3\ kg}{1\ \cancel{Mg}}\cdot \frac{1\ Pa}{10^2\ \cancel{cPa}}\cdot \frac{10^3\ \cancel{ms}}{1\ s} = \fbox{\color[RGB]{192,0,0}{\bm{7.82\cdot 10^{-1}\ \frac{kg\cdot Pa}{s}}}}

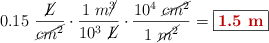
b) 0.15\ \frac{\cancel{L}}{\cancel{cm^2}}\cdot \frac{1\ m\cancel{^3}}{10^3\ \cancel{L}}\cdot \frac{10^4\ \cancel{cm^2}}{1\ \cancel{m^2}} = \fbox{\color[RGB]{192,0,0}{\bf 1.5\ m}}

c) 3\ 840\ \frac{\cancel{kcal}}{\cancel{g}\cdot K}\cdot \frac{10^3\ \cancel{cal}}{1\ \cancel{kcal}}\cdot \frac{4.18\ J}{1\ \cancel{cal}}\cdot \frac{10^3\ \cancel{g}}{1\ kg} = \fbox{\color[RGB]{192,0,0}{\bm{1.6\cdot 10^{10}\ \frac{J}{kg\cdot K}}}}