Cambio de unidades (2890)

, por F_y_Q

Realiza los siguientes cambios de unidades y expresa el resultado en notación científica:

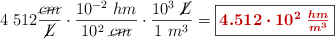
a) 4\ 512\ \frac{cm}{L}\  \to\ \frac{hm}{m^3}

b) 0.012\ \frac{cg\cdot nm}{kPa}\ \to\ \frac{g\cdot m}{Pa}

c) 4.83\cdot 10^{-5}\ \frac{atm\cdot m^3}{cs}\ \to\ \frac{J}{min}

Dato: 0.082\ atm\cdot L = 8.314\ J

P.-S.

a) 4\ 512\frac{\cancel{cm}}{\cancel{L}}\cdot \frac{10^{-2}\ hm}{10^2\ \cancel{cm}}\cdot \frac{10^3\ \cancel{L}}{1\ m^3} = \fbox{\color[RGB]{192,0,0}{\bm{4.512\cdot 10^2\ \frac{hm}{m^3}}}}

b) 0.012\frac{\cancel{cg}\cdot \cancel{nm}}{\cancel{kPa}}\cdot \frac{10^{-2}\ g}{1\ \cancel{cg}}\cdot \frac{10^{-9}\ m}{1\ \cancel{nm}}\cdot \frac{1\ \cancel{kPa}}{10^3\ Pa} = \fbox{\color[RGB]{192,0,0}{\bm{1.2\cdot 10^{-16}\ \frac{g\cdot m}{Pa}}}}

c) 4.83\cdot 10^{-5}\ \frac{\cancel{atm}\cdot \cancel{m^3}}{\cancel{cs}}\cdot \frac{10^3\ \cancel{L}}{1\ \cancel{m^3}}\cdot \frac{8.314\ J}{0.082\ \cancel{atm}\cdot \cancel{L}}\cdot \frac{1\ \cancel{cs}}{10^{-2}\ \cancel{s}}\cdot \frac{60\ \cancel{s}}{1\ min} = \fbox{\color[RGB]{192,0,0}{\bm{2.94\cdot 10^4\ \frac{J}{min}}}}