Cambio de unidad en el Sistema Internacional (12)

, por F_y_Q

Cambia a unidades SI:

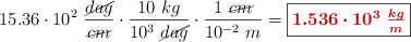
a) 15.36\cdot 10^2 \ \frac {dag}{cm}

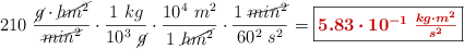
b) 210 \ \frac {g \cdot hm^2}{min^2}

c) 0.2\cdot 10^{-4}\ mg

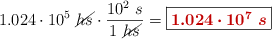
d) 1.024\cdot 10^5\ hs

P.-S.

a) 15.36\cdot 10^2\ \frac{\cancel{dag}}{\cancel{cm}}\cdot \frac{10\ kg}{10^3\ \cancel{dag}}\cdot \frac{1\ \cancel{cm}}{10^{-2}\ m} = \fbox{\color[RGB]{192,0,0}{\bm{1.536\cdot 10^3\ \frac {kg}{m}}}}

b) 210\ \frac{\cancel{g}\cdot \cancel{hm^2}}{\cancel{min^2}}\cdot \frac{1\ kg}{10^3\ \cancel{g}}\cdot \frac{10^4\ m^2}{1\ \cancel{hm^2}}\cdot \frac{1\ \cancel{min^2}}{60^2\ s^2} = \fbox{\color[RGB]{192,0,0}{\bm{5.83\cdot 10^{-1}\ \frac {kg\cdot m^2}{s^2}}}}

c) 0.2\cdot 10^{-4}\ \cancel{mg}\cdot \frac{10^{-3}\ kg}{10^3\ \cancel{mg}} = \fbox{\color[RGB]{192,0,0}{\bm{2\cdot 10^{-11}\ kg}}}

d) 1.024\cdot 10^5\ \cancel{hs}\cdot \frac{10^2\ s}{1\ \cancel{hs}} = \fbox{\color[RGB]{192,0,0}{\bm{1.024\cdot 10^7\ s}}}


RESOLUCIÓN DEL PROBLEMA EN VÍDEO.