Cambio de coordenadas polares a rectangulares (4367)

, por F_y_Q

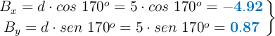
Transforma las siguientes coordenadas polares a coordenadas rectangulares: B (5 km; 530 ^o al oeste) a B (x, y).

P.-S.

La distancia (5 km) hace referencia al módulo en las coordenadas polares, mientras que los 530 ^o suponen un ángulo de 170 ^o (ya que hace referencia a una vuelta completa más 170 ^o). Eso quiere decir que el punto está en el segundo cuadrante de la circunferencia, por lo que tendrá un valor de «y» positivo y un valor de «x» negativo.

\left B_x = d\cdot cos\ 170^o = 5\cdot cos\ 170^o = {\color[RGB]{0,112,192}{\bf -4.92}} \atop B_y = d\cdot sen\ 170^o = 5\cdot sen\ 170^o = {\color[RGB]{0,112,192}{\bf 0.87} \right \}

Las coordenadas rectangulares son:

\fbox{\color[RGB]{192,0,0}{\bf B  (-4.92, 0.87)}}