Cambiar unidades al Sistema Internacional, usando notación científica y cifras significativas (6822)

, por F_y_Q

Expresa las siguientes cantidades en unidades SI, usando notación científica y el mismo número de cifras significativas que la cantidad de partida:

a) 0.000295 mL.

b) 3.260\ \frac{km}{min} .

c) 1 023 000 Mg.

d) 0.01204\ \mu m .

P.-S.

Es imporante saber cuáles son las unidades SI de cada una de las magnitudes medidas en los apartados:

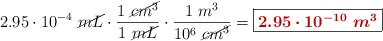
a) Se trata de volumen y la unidad SI es el m ^3:

2.95\cdot 10^{-4}\ \cancel{mL}\cdot \frac{1\ \cancel{cm^3}}{1\ \cancel{mL}}\cdot \frac{1\ m^3}{10^6\ \cancel{cm^3}} = \fbox{\color[RGB]{192,0,0}{\bm{2.95\cdot 10^{-10}\ m^3}}}


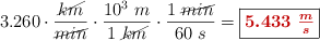
b) Ahora debes hacer un cambio de unidad de velocidad y debes expresarla en \textstyle{m\over s}:

3.260\cdot \frac{\cancel{km}}{\cancel{min}}\cdot \frac{10^3\ m}{1\ \cancel{km}}\cdot \frac{1\ \cancel{min}}{60\ s} = \fbox{\color[RGB]{192,0,0}{\bm{5.433\ \frac{m}{s}}}}


c) La masa se expresa en kg en el Sistema Internacional:

1.023\cdot 10^6\ \cancel{Mg}\cdot \frac{10^3\ kg}{1\ \cancel{Mg}} = \fbox{\color[RGB]{192,0,0}{\bm{1.023\ \cdot 10^9\ kg}}}


d) Ahora debes expresar la medida de longitud en metros:

1.204\cdot 10^{-2}\ \cancel{\mu m}\cdot \frac{1\ m}{10^6\ \cancel{\mu m}} = \fbox{\color[RGB]{192,0,0}{\bm{1.204\cdot 10^{-8}\ m}}}