Cambiar de unidades (2023)

, por F_y_Q

Realiza los siguientes cambios de unidades:

a) 1\ 033\ cm\ \to dam

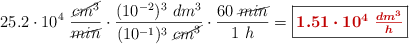
b) 25.2\cdot 10^4\ \frac{cm^3}{min}\ \to\ \frac{dm^3}{h}

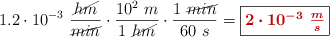
c) 1.2\cdot 10^{-3}\ \frac{hm}{min}\ \to\ \frac{m}{s}

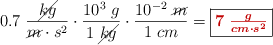
d) 0.7\ \frac{kg}{m\cdot s^2}\ \to\ \frac{g}{cm\cdot s^2}

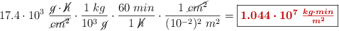
e) 17.4\cdot 10^3\ \frac{g\cdot h}{cm^2}\ \to\ \frac{kg\cdot min}{m^2}

P.-S.

a) 1\ 033\ \cancel{cm}\cdot \frac{10^{-2}\ dam}{10\ \cancel{cm}} = \fbox{\color[RGB]{192,0,0}{\bf 1.033\ dam}}

b) 25.2\cdot 10^4\ \frac{\cancel{cm^3}}{\cancel{min}}\cdot \frac{(10^{-2})^3\ dm^3}{(10^{-1})^3\ \cancel{cm^3}}\cdot \frac{60\ \cancel{min}}{1\ h} = \fbox{\color[RGB]{192,0,0}{\bm{1.51\cdot 10^4\ \frac{dm^3}{h}}}}

c) 1.2\cdot 10^{-3}\ \frac{\cancel{hm}}{\cancel{min}}\cdot \frac{10^2\ m}{1\ \cancel{hm}}\cdot \frac{1\ \cancel{min}}{60\ s} = \fbox{\color[RGB]{192,0,0}{\bm{2\cdot 10^{-3}\ \frac{m}{s}}}}

d) 0.7\ \frac{\cancel{kg}}{\cancel{m}\cdot s^2}\cdot \frac{10^3\ g}{1\ \cancel{kg}}\cdot \frac{10^{-2}\ \cancel{m}}{1\ cm} = \fbox{\color[RGB]{192,0,0}{\bm{7\ \frac{g}{cm\cdot s^2}}}}

e) 17.4\cdot 10^3\ \frac{\cancel{g}\cdot \cancel{h}}{\cancel{cm^2}}\cdot \frac{1\ kg}{10^3\ \cancel{g}}\cdot \frac{60\ min}{1\ \cancel{h}}\cdot \frac{1\ \cancel{cm^2}}{(10^{-2})^2\ m^2} = \fbox{\color[RGB]{192,0,0}{\bm{1.044\cdot 10^7\ \frac{kg\cdot min}{m^2}}}}