Cálculo de notación científica (3227)

, por F_y_Q

Realiza los siguientes cálculos de notación científica:

a) \frac{8.1\cdot 10^9\cdot 3.6\cdot 10^5}{2.43\cdot 10^6}

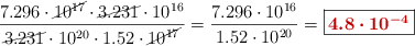
b) \frac{7.296\cdot 10^{17}\cdot 3.231\cdot 10^{16}}{3.231\cdot 10^{20}\cdot 1.52\cdot 10^{17}}

P.-S.

a)

\frac{8.1\cdot 10^9\cdot 3.6\cdot 10^5}{2.43\cdot 10^6} = \frac{8.1\cdot 3.6\cdot 10^{14}}{2.43\cdot 10^6} = 12\cdot 10^8 = \fbox{\color[RGB]{192,0,0}{\bm{1.2\cdot 10^9}}}


b)

\frac{7.296\cdot \cancel{10^{17}}\cdot \cancel{3.231}\cdot 10^{16}}{\cancel{3.231}\cdot 10^{20}\cdot 1.52\cdot \cancel{10^{17}}} = \frac{7.296\cdot 10^{16}}{1.52\cdot 10^{20}} = \fbox{\color[RGB]{192,0,0}{\bm{4.8\cdot 10^{-4}}}}