Cálculo de la densidad del amoniaco en unidades SI (5976)

, por F_y_Q

Calcula la densidad del amoniaco, sabiendo que 62.8 g de la sustancia ocupan 100 mL. Expresa el resultado en unidades del Sistema Internacional.

P.-S.

La densidad del amoniaco la obtienes al aplicar la ecuación de la densidad:

\rho = \frac{m}{V} = \frac{62.8\ g}{100\ mL} = \color[RGB]{0,112,192}{\bm{0.628\ \frac{g}{mL}}}

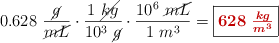
Ahora debes hacer un cambio de unidades para expresar el resultado en las unidades pedidas:

0.628\ \frac{\cancel{g}}{\cancel{mL}}\cdot \frac{1\ \cancel{kg}}{10^3\ \cancel{g}}\cdot \frac{10^6\ \cancel{mL}}{1\ m^3} = \fbox{\color[RGB]{192,0,0}{\bm{628\ \frac{kg}{m^3}}}}