Calculo de densidades experimentales y conclusión al ver los resultados (6383)

, por F_y_Q

Se han medido en el laboratorio la masa y el volumen de diferentes muestras y se han obtenido los siguientes resultados:

\begin{array}{|c|c|c|c|c|c|}\hline m\ (g) & 17.9 & 53.4 & 79.9 & 88.9 & 106.8 \\\hline V\ (mL) & 2 & 6 & 9 & 10 & 12 \\\hline \end{array}

a) Calcula la relación entre masa y volumen en cada caso.

b) ¿Qué unidades tendrá? ¿Qué significa esta relación?

c) ¿A qué conclusión llegas?

P.-S.

a) Lo que tienes que hacer en este apartado es hacer los cocientes de cada una de las medidas:

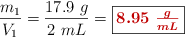
\frac{m_1}{V_1} = \frac{17.9\ g}{2\ mL} = \fbox{\color[RGB]{192,0,0}{\bm{8.95\ \frac{g}{mL}}}}

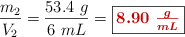
\frac{m_2}{V_2} = \frac{53.4\ g}{6\ mL} = \fbox{\color[RGB]{192,0,0}{\bm{8.90\ \frac{g}{mL}}}}

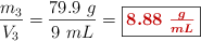
\frac{m_3}{V_3} = \frac{79.9\ g}{9\ mL} = \fbox{\color[RGB]{192,0,0}{\bm{8.88\ \frac{g}{mL}}}}

\frac{m_4}{V_4} = \frac{88.9\ g}{10\ mL} = \fbox{\color[RGB]{192,0,0}{\bm{8.89\ \frac{g}{mL}}}}

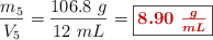
\frac{m_5}{V_5} = \frac{106.8\ g}{12\ mL} = \fbox{\color[RGB]{192,0,0}{\bm{8.90\ \frac{g}{mL}}}}

b) La unidad es, como puedes ver en los cálculos anteriores, \fbox{\color[RGB]{192,0,0}{\bf \textstyle{g\over mL}}}.

Este cociente es la densidad de cada una de las muestras.

c) Dado que todos los valores obtenidos son muy parecidos, dentro de un margen de error muy pequeño, se puede concluir que todas las muestras son de la misma sustancia pura por tener la misma densidad.


Descarga el enunciado y la resolución del problema en formato EDICO si lo necesitas.