Área de un recinto en unidad SI, con notación científica y tres cifras significativas (6823)

, por F_y_Q

Si un recinto rectangular tiene una longitud de 13 dam y una anchura de 4 500 cm, ¿cuál es su área? Expresa el resultado en notación científica y usando unidades SI, con tres cifras significativas.

P.-S.

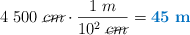
Quizás la mejor manera de resolver el ejercicio sea convirtiendo las dimensiones del recinto a metros y luego haciendo el cálculo del área:

13\ \cancel{dam}\cdot \frac{10\ m}{1\ \cancel{dam}} = \color[RGB]{0,112,192}{\bf 130\ m}

4\ 500\ \cancel{cm}\cdot \frac{1\ m}{10^2\ \cancel{cm}} = \color[RGB]{0,112,192}{\bf 45\ m}

El área del recinto es:

A = 130\ m\cdot 45\ m = \fbox{\color[RGB]{192,0,0}{\bm{ 5.85\cdot 10^3\ m^2}}}