Application of limiting reagent, purity of reagents and reaction yield (8281)

, por F_y_Q

You have 87 g of silver nitrate, with 87.9\ \% purity, reacting with 50 mL of a hydrochloric acid solution, 37\ \% by mass concentration and density 1.07 g/mL, producing silver chloride and nitric acid, with a reaction yield of 89.2\ \%.

a) Write the chemical reaction and balance it if necessary.

b) Calculate the amount of silver chloride and nitric acid produced in the reaction.

c) Determine the amount of the excess reagent that does not react.

Atomic masses: H = 1; O = 16; N = 14; Cl = 35.5; Ag = 108.

P.-S.

a) First, it is necessary to write the chemical reaction and check its stoichiometry:

\fbox{\color[RGB]{192,0,0}{\textbf{\ce{AgNO3 + HCl -> AgCl + HNO3}}}}


The stoichiometry of the reaction is 1:1, which will greatly simplify the calculations.

b) You need to determine the limiting reagent in the reaction, and for this, you must know the moles of each reagent you have at the beginning. Be very careful with the data treatment because you must consider that the reagents are not pure.

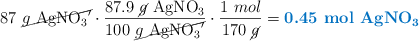
Moles of pure silver nitrate:

87\ \cancel{g\ \ce{AgNO3^{\prime}}}\cdot \frac{87.9\ \cancel{g}\ \ce{AgNO3}}{100\ \cancel{g\ \ce{AgNO3^{\prime}}}}\cdot \frac{1\ mol}{170\ \cancel{g}} = \color[RGB]{0,112,192}{\textbf{0.45\ mol\ \ce{AgNO3}}}

Moles of pure hydrochloric acid:

50\ \cancel{mL\ D}\cdot \frac{1.07\ \cancel{g\ D}}{1\ \cancel{mL\ D}}\cdot \frac{37\ \cancel{g}\ \ce{HCl}}{100\ \cancel{g\ D}}\cdot \frac{1\ mol}{36.5\ \cancel{g}} = \color[RGB]{0,112,192}{\textbf{0.542\ mol\ \ce{HCl}}}

It is easy to conclude that the limiting reagent is \color[RGB]{2,112,20}{\textbf{\ce{AgNO_3}}} because it is the one with the fewest initial moles, and the stoichiometry is 1:1.

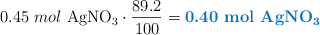
Since the reaction does not go to completion, you will calculate how many moles react from the initial 0.45 moles.

0.45\ mol\ \ce{AgNO3}\cdot \frac{89.2}{100} = \color[RGB]{0,112,192}{\textbf{0.40\ mol\ \ce{AgNO3}}}

This means that only 0.40 moles of each reactant react, and the same moles of each product are obtained. You calculate the mass of each product:

0.40\ \cancel{mol}\ \ce{AgCl}\cdot \frac{143.5\ g}{1\ \cancel{mol}} = \fbox{\color[RGB]{192,0,0}{\textbf{57.4\ g\ \ce{AgCl}}}}


0.40\ \cancel{mol}\ \ce{HNO3}\cdot \frac{63\ g}{1\ \cancel{mol}} = \fbox{\color[RGB]{192,0,0}{\textbf{25.2\ g\ \ce{HNO3}}}}


c) The excess reagent is HCl, of which 0.40 moles react, leaving unreacted: (0.542 - 0.40) mol = 0.142 mol. You convert this to mass:

0.142\ \cancel{mol}\ \ce{HCl}\cdot \frac{36.5\ g}{1\ \cancel{mol}} = \fbox{\color[RGB]{192,0,0}{\textbf{5.18\ g\ \ce{HCl}}}}