Application of Graham’s law: hydrogen diffusion rate (8308)

, por F_y_Q

Determine the diffusion rate of hydrogen, knowing that the diffusion rate of oxygen is 2 minutes.

P.-S.

Graham’s law relates the diffusion rates of two gases to their molecular masses. If the gases are A and B, the relationship is:

\color[RGB]{2,112,20}{\bm{\frac{v_A}{v_B} = \sqrt{\frac{M_B}{M_A}}}}

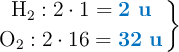
For hydrogen and oxygen, both being diatomic, the molecular masses are:

\left \ce{H2}: 2\cdot 1 = {\color[RGB]{0,112,192}{\bf 2\ u}} \atop \ce{O2}: 2\cdot 16 = {\color[RGB]{0,112,192}{\bf 32\ u}} \right \}

The relationship between their diffusion rates will be:

\frac{v_{\ce{H_2}}}{v_{\ce{O_2}}}= \sqrt{\frac{32\ \cancel{u}}{2\ \cancel{u}}} = \sqrt{16} = \color[RGB]{0,112,192}{\bf 4}

This means hydrogen diffuses four times faster than oxygen, so the diffusion rate of hydrogen will be 0.5 minutes, or 30 seconds.