Aplicación del cambio de unidades y densidad (2182)

, por F_y_Q

El volumen de los océanos es de cerca de 1.4\cdot 10^9\ km^3.

a) Si su contenido de oro es de 4 \cdot 10^{-6}\ mg/L, ¿cuántos gramos de oro hay en los océanos?

b) Las unidades que acabamos de indicar para la cifra 4 \cdot 10^{-6} son mg/L, es decir, una relación de masa y volumen. ¿Se puede decir entonces que tal valor corresponde a una densidad?

P.-S.

a) Primero debes convertir el volumen de los océanos en litros:

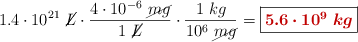
1.4\cdot 10^9\ \cancel{km^3}\cdot \frac{10^9\ \cancel{m^3}}{1\ \cancel{km^3}}\cdot \frac{10^3\ L}{1\ \cancel{m^3}} = \color[RGB]{0,112,192}{\bm{1.4\cdot 10^{21}\ L}}

Ahora basta con que multipliques el dato obtenido por el dato de la cantidad de oro que hay por litro. Añado un factor de conversión para expresar el resultado en kg:

1.4\cdot 10^{21}\ \cancel{L}\cdot \frac{4\cdot 10^{-6}\ \cancel{mg}}{1\ \cancel{L}}\cdot \frac{1\ kg}{10^6\ \cancel{mg}} = \fbox{\color[RGB]{192,0,0}{\bm{5.6\cdot 10^9\ kg}}}



¡¡Esto quiere decir que hay 5.6 millones de toneladas de oro en el agua de los océanos!!

b) No. El dato que nos dan no es una densidad porque está referido a masa de oro por volumen de agua, es decir, son masa y volumen de distintas sustancias. La densidad es la relación entre masa y volumen de la misma sustancia.