Aplicación de la ley general de los gases a varios sistemas (6028)

, por F_y_Q

Completa la siguiente tabla para cada sustancia gaseosa:

\begin{tabular}{|c|c|c|c|c|c|c|} \hline Gas&T_1&V_1&P_1&T_2&V_2&P_2\\\hline NH_3&27\ ^oC&550.0\ mL&980\ torr&330\ K&0.8\ L& \\\hline O_2&18\ ^oF&3.2\ L&0.045\ atm& &768\ mL&1\ 400\ torr\\\hline N_2&120\ ^oC&6.8\ L&2\ atm&567\ K& &1.5\ atm\\\hline CO_2& & 897\ mL&567\ mm\ Hg&60\ ^oC&0.654\ L&564\ torr\\\hline H_2&74\ ^oC& &720\ torr&280\ K&0.65\ L&0.98\ atm\\\hline Cl_2&300\ K&589\ mL& &600\ K&984\ mL&1.2\ atm\\\hline \end{tabular}

P.-S.

El ejercicio se hace aplicando la ecuación general de los gases y despejando, en cada caso, el dato que falta en la tabla. La dificultad del ejercicio está en los cambios de unidades. Hacemos los tres primeros casos y explicamos los cambios de unidades, siendo el resto de los casos análogos. La temperatura siempre ha de estar expresada en escala absoluta y es importante recordarlo.

Cálculos para el \ce{NH_3}.

Los cambios de unidades que hacemos son:

T_1 = (27 + 273)\ K = \color[RGB]{0,112,192}{\bf 300\ K} ; \color[RGB]{0,112,192}{\bf V = 0.55\ L}

Despejamos el valor de la presión en la ecuación general:

\frac{P_1\cdot V_1}{T_1}= \frac{P_2\cdot V_2}{T_2}\ \to\ P_2  = \frac{P_1\cdot V_1\cdot T_2}{V_2\cdot T_1}

Solo tenemos que sustituir:

P_2 =\frac{980\ torr\cdot 330\ \cancel{K}\cdot 0.55\ \cancel{L}}{0.8\ \cancel{L}\cdot 300\ \cancel{K}} = \fbox{\color[RGB]{192,0,0}{\bf 741.1\ torr}}


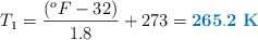
Cálculos para el \ce{O_2}.

Ahora tenemos que hacer el cambio de unidades para la temperatura y para la presión:

T_1 =\frac{(^oF - 32)}{1.8} + 273 = \color[RGB]{0,112,192}{\bf 265.2\ K}

P = 1\ 400\ \cancel{torr}\cdot \frac{1\ atm}{760\ \cancel{torr}} = \color[RGB]{0,112,192}{\bf 1.84\ atm}

Despejamos el valor de la temperatura que falta en la tabla y calculamos:

T_2= \frac{P_2\cdot V_2\cdot T_1}{P_1\cdot V_1} = \frac{1.84\ \cancel{atm}\cdot 0.768\ \cancel{L}\cdot 265.2\ K}{0.045\ \cancel{atm}\cdot 3.2\ \cancel{L}}= \fbox{\color[RGB]{192,0,0}{\bf 2\ 605\ K}}


Cálculos para el \ce{N_2}.

Escribimos directamente la ecuación en la que despejamos el volumen y sustituimos con los datos adecuados:

V_2 = \frac{P_1\cdot V_1\cdot T_2}{T_1\cdot P_2} = \frac{2\ \cancel{atm}\cdot 6.8\ \cancel{L}\cdot 567\ \cancel{K}}{393\ \cancel{K}\cdot 1.5\ \cancel{atm}} = \fbox{\color[RGB]{192,0,0}{\bf 13.1\ L}}


Cálculos para el \ce{CO_2}.

La unidad mm Hg equivale a los torr y se convierten a atm de la misma manera que hemos hecho antes.

T_1= \frac{P_1\cdot V_1\cdot T_2}{P_2\cdot V_2} = \frac{567\ \cancel{mm\ Hg}\cdot 0.897\ \cancel{L}\cdot 333\ K}{564\ \cancel{torr}\cdot 0.654\ \cancel{L}}= \fbox{\color[RGB]{192,0,0}{\bf 459.1\ K}}


Cálculos para el \ce{H_2}.

La ecuación en la que despejamos el volumen y sustituimos es:

V_1 = \frac{P_2\cdot V_2\cdot T_1}{T_2\cdot P_1} = \frac{0.98\ \cancel{atm}\cdot 0.65\ \cancel{L}\cdot 347\ \cancel{K}}{0.947\ \cancel{atm}\cdot 280\ \cancel{K}} = \fbox{\color[RGB]{192,0,0}{\bf 0.834\ L}}


Cálculos para el \ce{Cl_2}:

P_1 = \frac{P_2\cdot V_2\cdot T_1}{T_2\cdot V_1} = \frac{1.2\ atm\cdot 984\ \cancel{mL}\cdot 300\ \cancel{K}}{600\ \cancel{K}\cdot 589\ \cancel{mL}} = \fbox{\color[RGB]{192,0,0}{\bf 1.0\ atm}}



La tabla completa queda como:

\begin{tabular}{|c|c|c|c|c|c|c|}\hline Gas&T_1&V_1&P_1&T_2&V_2&P_2 \\\hline NH_3&27^o C&550.0\ mL&980\ torr&330\ K&0.8\ L&\color[RGB]{192,0,0}{\bf 741.1\ torr} \\\hline O_2&18^o F&3.2\ L&0.045\ atm&\color[RGB]{192,0,0}{\bf 2\ 605\ K}&768\ mL&1\ 400\ torr \\\hline N_2&120^oC&6.8\ L&2\ atm&567\ K&\color[RGB]{192,0,0}{\bf 13.1\ L}&1.5\ atm \\\hline CO_2&\color[RGB]{192,0,0}{\bf 459.1\ K}& 897\ mL&567\ mm\ Hg&60^o C&0.654\ L&564\ torr \\\hline H_2&74^oC&\color[RGB]{192,0,0}{\bf 0.834\ L}&720\ torr&280\ K&0.65\ L&0.98\ atm \\\hline Cl_2&300\ K&589\ mL&\color[RGB]{192,0,0}{\bf 1.0\ atm}&600\ K&984\ mL&1.2\ atm \\\hline \end{tabular}