Aplicación de cambio de unidades al tamaño de un átomo (2804)

, por F_y_Q

Un átomo típico tiene un diámetro de aproximadamente 10 ^{-10}\ m.

a) ¿Cuánto es esta medida en pulgadas?

b) ¿Cuántos átomos hay aproximadamente en una línea de 1.0 cm?

P.-S.

a) Conviertes los metros en pulgadas sabiendo que 1 in equivale a 2.54 cm:

10^{-10}\ \cancel{m}\cdot \frac{1\ in}{2.54\cdot 10^{-2}\ \cancel{m}} = \fbox{\color[RGB]{192,0,0}{\bm{3.9\cdot 10^{-9}\ in}}}


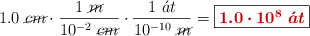
b) En un único paso conviertes los cm en m y haces la operación para obtener los átomos:

1.0\ \cancel{cm}\cdot \frac{1\ \cancel{m}}{10^{-2}\ \cancel{cm}}\cdot \frac{1\ \acute{a}t}{10^{-10}\ \cancel{m}} = \fbox{\color[RGB]{192,0,0}{\bm{1.0\cdot 10^8\ \acute{a}t}}}


Descarga el enunciado del problema y la resolución en formato EDICO si lo necesitas.