Ángulos de reflexión y refracción al pasar la luz de un medio a otro (7203)

, por F_y_Q

Si la relación entre los índices de refracción de un medio a otro es de 0.5 y una onda incide sobre la separación de ellos formando un ángulo de 10 ^o con la normal. Calcula el ángulo de refracción y el ángulo de reflexión. ¿Cuál de los dos medios es más denso?

P.-S.

El ángulo de reflexión es igual al ángulo de incidencia según la primera ley de Snell, por lo tanto:

\alpha_r = \alpha_i\ \to\ \fbox{\color[RGB]{192,0,0}{\bm{\alpha_r = 10^o}}}


Tal y como está enunciado el problema, puedes considerar que la onda pasa de un medio de mayor a otro de menor índice de refracción o justo lo contrario. En ambos casos, la ecuación a aplicar es la misma y la obtienes a partir de la segunda ley de Snell:

n_1\cdot sen\ \tetha_1 = n_2\cdot \theta_2\ \to\ \color[RGB]{2,112,20}{\bm{\theta_2 = arcsen\ \left(\frac{n_1\cdot sen\ \theta_1}{n_2}\right)}}

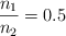
Si aumenta el índice de refracción del medio.

En este caso \frac{n_1}{n_2} = 0.5 y al aplicar la fórmula anterior obtienes:

\theta_2 = arcsen\ (0.5\cdot sen\ 10) = \fbox{\color[RGB]{192,0,0}{\bm{4.98^o}}}


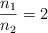
Si disminuye el índice de refracción del medio.

En este caso \frac{n_1}{n_2} = 2 y al aplicar la fórmula anterior obtienes:

\theta_2 = arcsen\ (2\cdot sen\ 10) = \fbox{\color[RGB]{192,0,0}{\bm{20.3^o}}}


El medio más denso es aquel en el que el índice de refracción es mayor porque el índice de refracción es directamente proporcional a la densidad del medio.