Ángulo con el que un electrón sale de una región con campo eléctrico vertical (7524)

, por F_y_Q

Un electrón se esta moviendo horizontalmente con una energía cinética de 1.32\cdot 10^{-18}\ J y entra en una región de un campo eléctrico cuyo valor es de 10^3\ \textstyle{N\over C} y que apunta hacia abajo. Si esa región mide horizontalmente 1 cm, determina el ángulo con el que el electrón deja esa región, medido con respecto a su trayectoria original.

P.-S.

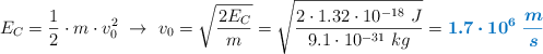
El electrón, durante el tramo en el que está el campo eléctrico, va a sufrir dos movimientos distintos en direcciones perpendiculares. Su velocidad horizontal será la misma siempre y la puedes determinar a partir de la energía cinética con la que entra en el campo eléctrico:

E_C = \frac{1}{2}\cdot m\cdot v_0^2\ \to\ v_0 = \sqrt{\frac{2E_C}{m}} = \sqrt{\frac{2\cdot 1.32\cdot 10^{-18}\ J}{9.1\cdot 10^{-31}\ kg}} = \color[RGB]{0,112,192}{\bm{1.7\cdot 10^6\ \frac{m}{s}}}

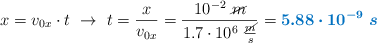
En la dirección horizontal seguirá un MRU y el tiempo que tardará en recorrer la distancia horizontal de un 1 cm es:

x = v_{0x}\cdot t\ \to\ t = \frac{x}{v_{0x}} = \frac{10^{-2}\ \cancel{m}}{1.7\cdot 10^6\ \frac{\cancel{m}}{s}} = \color[RGB]{0,112,192}{\bm{5.88\cdot 10^{-9}\ s}}

La fuerza vertical que ejerce el campo sobre el electrón lo somete a una aceleración vertical que puedes calcular si igualas la ecuación de la fuerza eléctrica a la de la segunda ley de la dinámica:

\left F_e = q_e\cdot E \atop F = m_e\cdot a \right \}\ \to\ \color[RGB]{2,112,20}{\bm{a = \frac{q_e\cdot E}{m_e}}}

Sustituyes y calculas la aceleración:

a = \frac{1.6\cdot 10^{-19}\ \cancel{C}\cdot 10^3\ \frac{N}{\cancel{C}}}{9.1\cdot 10^{-31}\ kg} = \color[RGB]{0,112,192}{\bm{1.76\cdot 10^{14}\ \frac{m}{s^2}}}

En la dirección vertical sigue un MRUA el electrón. Si tienes en cuenta el tiempo calculado antes, puedes calcular la posición del electrón en la dirección vertical:

y = \cancelto{0}{v_{0y}}\cdot t + \frac{a}{2}\cdot t^2\ \to\ y = \frac{1.76\cdot 10^{14}}{2}\ \frac{m}{\cancel{s^2}}\cdot (5.88\cdot 10^{-9})^2\ \cancel{s^2} = \color[RGB]{0,112,192}{\bm{3.04\cdot 10^{-3}\ m}}

El ángulo que buscas será el coseno del cociente de las distancias recorridas en cada eje:

cos\ \alpha = \frac{y}{x}\ \to\ \alpha = arccos\ \frac{3.04\cdot 10^{-3}\ \cancel{m}}{10^{-2}\ \cancel{m}} = \fbox{\color[RGB]{192,0,0}{\bm{16.9^o}}}


Descarga el enunciado y la resolución del problema en formato EDICO si lo necesitas.