Análisis termodinámico de un proceso de combustión en un pistón

, por F_y_Q

Una empresa automotriz está realizando algunos ensayos con los nuevos diseños de motor que lanzará al mercado el próximo año. En uno de estos ensayos se trabajó con una mezcla de aire y gasolina encerrados en un cilindro provisto de un pistón móvil. El volumen inicial de la mezcla gaseosa fue 40\ cm^3. En un momento se provocó la reacción de combustión en el interior de un cilindro que liberó 950 J de energía. La mezcla gaseosa se expandió contra la presión constante de 650 mm Hg y las condiciones del ensayo fueron tales que toda la energía liberada por la combustión se convirtió en trabajo para empujar el pistón móvil.

a) El calor liberado por la combustión, ¿corresponde al \Delta E o al \Delta H del proceso? Justifica tu respuesta.

b) ¿Cuáles fueron las condiciones del ensayo, isotérmico, isobárico, isocórico o adiabático? Justifica tu respuesta.

c) Calcula el volumen final de la mezcla gaseosa (1\ atm\cdot L = 101,325\ J).

d) Representa el proceso en un diagrama P versus V y sombrea el área correspondiente al trabajo realizado. ¿Este trabajo es hecho por o sobre el sistema?

P.-S.

a) Se trata de variación de entalpía, \Delta H, porque el calor producido es a presión constante.
b) Es un proceso adiabático porque toda la energía se convierte en trabajo, es decir, el término Q en la primera ley de la Termodinámica es cero. También es un proceso isobárico porque la presión es constante.
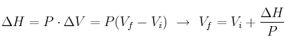
c) Como la energía liberada por el sistema se convierte en trabajo mecánico:
\Delta H = P\cdot \Delta V = P(V_f - V_i)\ \to\ V_f = V_i + \frac{\Delta H}{P}
Debemos tener cuidado con las unidades y hacer los cambios oportunos para lograr que la ecuación sea homogénea:

V_f = \frac{950\ \cancel{J}\cdot \frac{1\ \cancel{atm}\cdot L}{101,325\ \cancel{J}}}{650\ \cancel{mm\ Hg}\cdot \frac{1\ \cancel{atm}}{760\ \cancel{mm\ Hg}}} + 0,04\ L = \bf 11\ L


d) La representación tiene la forma que puedes ver en la imagen (clica sobre la miniatura para verla mejor):