Análisis dimensional (2969)

, por F_y_Q

Verifica que la ecuación a  = \frac{v^2}{d} es homogénea.

P.-S.

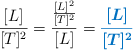
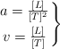
Es necesario que hagas un análisis dimensional de la expresión. Sabes que la aceleración es el cociente entre longitud y tiempo al cuadrado y que la velocidad es el cociente entre la longitud y el tiempo:

\left a = \frac{[L]}{[T]^2} \atop v = \frac{[L]}{[T]} \right \}


\frac{[L]}{[T]^2} = \frac{\frac{[L]^2}{[T]^2}}{[L]} = \color[RGB]{0,112,192}{\bm{\frac{[L]}{[T]^2}}}


Como las magnitudes son iguales a ambos lados del igual, podemos concluir que la ecuación es homogénea.