Análisis de distintas disoluciones de una sal a partir de su solubilidad (6399)

, por F_y_Q

Sabiendo que la solubilidad de la sal de mesa es \Big(s= \frac{36\ g}{100\ g\ \ce{H2O}}\Big) a 20 ^oC, se desea saber:

a) ¿Es posible disolver 70 g de sal en 150 g de agua?

b) ¿Qué masa de solución se puede obtener si se dispone de 95 g de sal?

c) ¿Es posible disolver completamente 10 g de sal en 50 g de agua?

P.-S.

En todos los casos voy a usar el dato de la solubilidad como un factor de conversión.

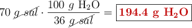
a) Partes de la masa que quieres disolver y calculas la masa de agua necesaria:

70\ \cancel{g\ sal}\cdot \frac{100\ g\ \ce{H2O}}{36\ \cancel{g\ sal}} = \fbox{\color[RGB]{192,0,0}{\bf 194.4\ g\ \ce{H2O}}}


A la vista del resultado, no es posible disolver 70 g de sal en solo 150 g de agua.

b) Ahora calculas la masa de agua necesaria para disolver los 95 g de sal:

95\ \cancel{g\ sal}\cdot \frac{100\ g\ \ce{H2O}}{36\ \cancel{g\ sal}} = \color[RGB]{0,112,192}{\textbf{263.9\ g\ \ce{H2O}}}

La masa de la disolución es la suma de la masa de agua y la de sal:

m_D = (95 + 263.9)\ g = \fbox{\color[RGB]{192,0,0}{\bf 358.9\ g}}}


c) Calculas qué masa de agua necesitas para disolver los 10 g de sal:

10\ \cancel{g\ sal}\cdot \frac{100\ g\ \ce{H2O}}{36\ \cancel{g\ sal}} = \fbox{\color[RGB]{192,0,0}{\bf 27.8\ g\ \ce{H2O}}}}


Por lo tanto, se pueden disolver los 10 g de sal en los 50 g de agua.


Descarga el enunciado y la resolución del problema en formato EDICO si lo necesitas.