Altura a la que se encuentra un cuerpo del que conocemos su energía y su masa (6059)

, por F_y_Q

Calcula la altura a la que se encuentra un cuerpo que posee una energía de 20 kcal, sabiendo que su masa es de 2 toneladas.

Dato: 1 cal = 4.18 J.

P.-S.

La unidad en la que el enunciado da el dato de la energía no es del Sistema Internacional de unidades por lo que debes hacer la conversión:

20\ \cancel{kcal}\cdot \frac{10^3\ \cancel{cal}}{1\ \cancel{kcal}}\cdot \frac{4.18\ J}{1\ \cancel{cal}} = \color[RGB]{0,112,192}{\bm{8.36\cdot 10^4\ J}}

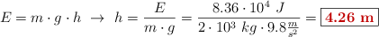
Como consideras la energía en función de la altura del cuerpo, se tratará de energía potencial gravitatoria. Despejas el valor de la altura y calculas:

E = m\cdot g\cdot h\ \to\ h = \frac{E}{m\cdot g} = \frac{8.36\cdot 10^4\ J}{2\cdot 10^3\ kg\cdot 9.8\frac{m}{s^2}} = \fbox{\color[RGB]{192,0,0}{\bf 4.26\ m}}