Ajuste de una reacción y estequiometría 0001

, por F_y_Q

Se realiza en el laboratorio un ensayo para la combustión del gas propano y se queman 500 g de dicho gas. ¿Cuánto gas de dióxido de carbono y agua se obtendrán?

P.-S.

La reacción que tiene lugar es:
C_3H_8 + 5O_2\ \to\ 3CO_2 + 4H_2O
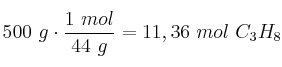
Si convertimos en moles los 500 g de propano:

500\ g\cdot \frac{1\ mol}{44\ g} = 11,36\ mol\ C_3H_8


Podemos hacer la estequiometría de la reacción con el agua y el dióxido de carbono:

11,36\ mol\ C_3H_8\cdot \frac{3\ mol\ CO_2}{1\ mol\ C_3H_8} = 34,08\ mol\ CO_2


11,36\ mol\ C_3H_8\cdot \frac{4\ mol\ H_2O}{1\ mol\ C_3H_8} = 45,44\ mol\ H_2O


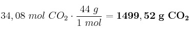
Convertimos a masa ambos productos:

34,08\ mol\ CO_2\cdot \frac{44\ g}{1\ mol} = \bf 1499,52\ g\ CO_2


45,44\ mol\ H_2O\cdot \frac{18\ g}{1\ mol} = \bf 817,92\ g\ H_2O