Aceleración de la gravedad si la masa y el volumen de la Tierra fuese la mitad (865)

, por F_y_Q

Si se redujese el volumen de la Tierra a la mitad y perdiera la mitad de su masa, ¿cómo variaría la aceleración de la gravedad?

P.-S.

En este ejercicio vamos a tener que relacionar el valor de la aceleración de la gravedad g con el nuevo valor que tendría esa aceleración si se cumplieran las condiciones dadas, g^{\prime} . Esta relación será:

\frac{g^{\prime}}{g} = \frac{GM^{\prime}/R^{\prime}^2}{GM/R^2}

Como la masa sería la mitad, podemos reescribir y simplificar esta ecuación:

\frac{g^{\prime}}{g} = \frac{GM/2R^{\prime}^2}{GM/R^2} = \bf \frac{R^2}{2R^{\prime}^2}\ (1)

La relación entre los radios la debemos establecer a partir de la relación entre las densidades que nos indica el enunciado:

\frac{V^{\prime}}{V} = \frac{\frac{4}{3}\cdot \pi\cdot R^{\prime}^3}{\frac{4}{3}\cdot \pi\cdot R^3}\ \to\ \frac{1}{2} = \frac{R^{\prime}^3}{R^3}

La relación entre ambos radios resulta:

R^{\prime} = 2^{-1/3}R

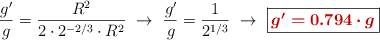
Si volvemos a la ecuación (1) y sustituimos:

\frac{g^{\prime}}{g} = \frac{R^2}{2\cdot 2^{-2/3}\cdot R^2}\ \to\ \frac{g^{\prime}}{g} = \frac{1}{2^{1/3}}\ \to\ \fbox{\color[RGB]{192,0,0}{\bm{g^{\prime} = 0.794\cdot g}}}