pH de una taza de café

, por F_y_Q

La concentración de iones [OH^-] en una taza de café es igual a 1\cdot 10^{-9}\ M. Calcula su pH.

P.-S.

Vamos a hacer este ejercicio de dos modos distintos.
Primer método.
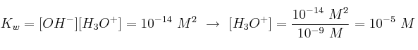
El producto de la concentración de las especies OH^- y H_3O^+ en el agua ha de ser igual al producto iónico del agua (por ser una disolución acuosa), es decir, 10^{-14}\ M^2. Si despejamos:
K_w = [OH^-][H_3O^+] = 10^{-14}\ M^2\ \to\ [H_3O^{+}] = \frac{10^{-14}\ M^2}{10^{-9}\ M} = 10^{-5}\ M
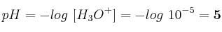
El pH se obtiene al hacer:

pH = -log\ [H_3O^+] = - log\ 10^{-5} = \bf 5

Segundo método.
Como conocemos la concentración de OH^- podemos hacer el pOH:
pOH = - log\ [OH^-] = - log\ 10^{-9} = 9
La suma del pH y el pOH ha de ser igual a 14:

pH + pOH = 14\ \to\ \bf pH = 14 - pOH = 5