P.-S.
A partir del valor de su constante de ionización podemos calcular la concentración que tendrán los iones en el equilibrio:


Podemos poner las concentraciones en el equilibrio en función de la concentración inicial:

;
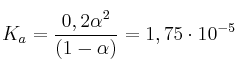
Nuestra ecuación para la constante de equilibrio será:

Hay que resolver la ecuación de segundo grado:

. El valor de que se obtiene es

. El otro valor es negativo y carece de sentido químico.
De este modo decimos que la concentración en el equilibrio para el

es
El pH será:
Dado que la masa molecular del

es 60 g/mol, el gramo que se añade a la disolución supone

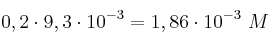
. En los 500 mL de disolución (0,5 L) hay contenidos 0,1 mol de soluto, por lo que los moles totales después de poner el gramo de soluto serán

. La molaridad de la nueva disolución es:

.
Haciendo el cálculo anterior se obtiene una nueva ecuación de segundo grado que hay que resolver:

, siendo
Ahora tenemos que la concentración en el nuevo equilibrio para el

es
El pH será:
