Volumen final de un gas al variar su presión y temperatura

, por F_y_Q

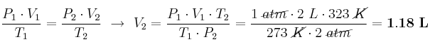
Un gas ocupa un volumen de 2 L en condiciones normales. ¿Qué volumen ocupará esta misma masa de gas a 2 atm y 50 ºC?

P.-S.

Al ser constante la masa, podemos aplicar la ley general de los gases. La temperatura tiene que ser expresada en escala absoluta:

\frac{P_1\cdot V_1}{T_1} = \frac{P_2\cdot V_2}{T_2}\ \to\ V_2 = \frac{P_1\cdot V_1\cdot T_2}{T_1\cdot P_2} = \frac{1\ \cancel{atm}\cdot 2\ L\cdot 323\ \cancel{K}}{273\ \cancel{K}\cdot 2\ \cancel{atm}} = \bf 1.18\ L