Volumen específico molar de una mezcla de gases (6209)

, por F_y_Q

Un tanque contiene una mezcla de gases, los cuales están en la siguiente proporción: 15 \% mol \ce{H2} y el resto es but-1-eno. Halla el volumen específico molar si la presión de la mezcla es de 10 atm y la temperatura de 50 \ ^oC.

Datos: C = 12 ; H = 1 ; R =  0.082\ \textstyle{atm\cdot L\over K\cdot mol}

P.-S.

Vamos a tomar como base de cálculo 1 mol de la mezcla de gases. Esto quiere decir que 0.15 moles serán de \ce{H2} y 0.85 moles de \ce{C4H8}. Vamos a calcular la masa de cada gas en la mezcla y el volumen total de la mezcla en las condiciones de P y T dadas:

0.15\ \cancel{mol}\ \ce{H2}\cdot \frac{2\ g}{1\ \cancel{mol}} = 0.3\ g\ \ce{H2}

0.85\ \cancel{mol}\ \ce{C4H8}\cdot \frac{56\ g}{1\ \cancel{mol}} = 47.6\ g\ \ce{H2}

La masa total de la mezcla es:

m_T = (0.3 + 47.6)\ g = 47.9\ g

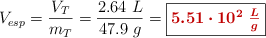
El volumen total de la mezcla es:

PV = nRT\ \to\ V_T = \frac{nRT}{P} = \frac{1\ \cancel{mol}\cdot 0.082\ \frac{\cancel{atm}\cdot L}{\cancel{mol}\cdot \cancel{K}}\cdot 323\ \cancel{K}}{10\ \cancel{atm}} = 2.65\ L
El volumen específico es la inversa de la densidad, es decir, el cociente entre el volumen total de la mezcla y la masa total de gas. Como está referido a un mol de gas, obtenemos el volumen específico molar:

V_{esp} = \frac{V_T}{m_T} = \frac{2.64\ L}{47.9\ g} = \fbox{\color[RGB]{192,0,0}{\bm{5.51\cdot 10^{2}\ \frac{L}{g}}}}