Volumen de producto tras la adición de yodo al ciclopropano

, por F_y_Q

¿Qué volumen del correspondiente producto se formará al halogenar con yodo 3\cdot 10^{-3} kilolitros de ciclopropano a 40^oC y 850 mm Hg?

Densidad del producto: 1,932 g/mL.

P.-S.

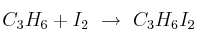
En primer lugar es necesario conocer la reacción que se da cuando se halogena el anillo:
C_3H_6 + I_2 \ \to\ C_3H_6I_2
Se obtiene el 1,3-diyodopropano, cuya masa molar es (3·12 + 6·1 + 2·127) = 296 g/mol.
El ciclopropano es un gas a la temperatura dada por lo que podemos calcular los moles que corresponden al volumen dado. Mucho cuidado porque el volumen está dado en kL pero, al hacer el cambio de unidad, se obtiene un volumen de 3L:
n = \frac{PV}{RT} = \frac{850\ \cancel{mm\ Hg}\cdot \frac{1\ \cancel{atm}}{760\ \cancel{mm\ Hg}}\cdot 3\ \cancel{L}}{0,082\frac{\cancel{atm}\cdot \cancel{L}}{\cancel{K}\cdot mol}\cdot 313\ \cancel{K}} = 0,131\ mol\ C_3H_6
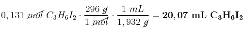
Como la estequiometría es 1:1 se obtendrán los mismos moles de producto. Solo nos queda convertir esos moles a masa y luego a volumen usando la densidad:

0,131\ \cancel{mol}\ C_3H_6I_2\cdot \frac{296\ \cancel{g}}{1\ \cancel{mol}}\cdot \frac{1\ mL}{1,932\ \cancel{g}} = \bf 20,07\ mL\ C_3H_6I_2