Volumen de gas producido en una reacción química 0001

, por F_y_Q

Al combinar 20 g de zinc con ácido clorhídrico para dar cloruro de zinc e hidrógeno. ¿Cuál es el volumen, en litros, de hidrógeno que se obtiene, medido en condiciones normales?

P.-S.

Primero escribimos la reacción que tiene lugar: Zn + 2 HCl\ \to\ ZnCl_2 + H_2
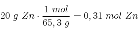
Ahora vamos a calcular los moles de cinc que reaccionan. Para ello usamos el dato de la masa atómica del Zn que encontramos en la tabla periódica (Zn = 65,3 g/mol)

20\ g\ Zn\cdot \frac{1\ mol}{65,3\ g} = 0,31\ mol\ Zn


La reacción anterior nos dice que por cada mol de Zn que reacciona se obtiene un mol de hidrógeno, así que se habrán obtenido también 0,31 mol de hidrógeno.
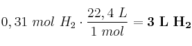
El volumen de hidrógeno sólo se puede calcular si conocemos las condiciones de presión y temperatura de la reacción. Como nos dicen que debemos considerar condiciones normales:

0,31\ mol\ H_2\cdot \frac{22,4\ L}{1\ mol} = \bf 3\ L\ H_2