Volumen de disolución de ácido acético para hacer reaccionar una masa de carbonato de sodio (5173)

, por F_y_Q

Determina el volumen de ácido acético (\ce{C2H4O2}), a una concentración 0.180 M, para hacer reaccionar 580 g de carbonato de sodio.

Masas atómicas: C = 12 ; H = 1 ; O = 16 ; Na = 23.

P.-S.

La reacción que tiene lugar entre ambas sustancias, debidamente ajustada, es:

\color[RGB]{2,112,20}{\textbf{\ce{2C2H4O2 + Na2CO3 -> 2C2H3O2Na + H2CO3}}}

Para convertir la masa de carbonato de sodio en moles necesitas su masa molar:

M_{\ce{Na2CO3}} = 2\cdot 23 + 1\cdot 12 + 3\cdot 16 = \color[RGB]{0,112,192}{\bm{106\ g\cdot mol^{-1}}}

Los moles de carbonato de sodio son:

580\ \cancel{g}\ \ce{Na2CO3}\cdot \frac{1\ \text{mol}}{106\ \cancel{g}} = \color[RGB]{0,112,192}{\textbf{5.45\ \ce{mol\ Na2CO3}}}

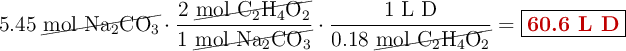
Aplicas la estequiometría de la reacción y la concentración del ácido para calcular el volumen de disolución, en forma de dos factores de conversión, para hacerlo en un único paso:

5.45\ \cancel{\ce{mol\ Na2CO3}}\cdot \frac{2\ \cancel{\ce{mol\ C2H4O2}}}{1\ \cancel{\ce{mol\ Na2CO3}}}\cdot \frac{1\ \text{L\ D}}{0.18\ \cancel{\ce{mol\ C2H4O2}}} = \fbox{\color[RGB]{192,0,0}{\textbf{60.6 L D}}}