Volumen de disolución 0.1 normal de permanganato de sodio para valorar oxalato de sodio (6057)

, por F_y_Q

¿Qué volumen de solución 0.1000 N de \ce{KMnO4} se necesitaría para valorar 0.1980 g de oxalato de sodio con una pureza del 99.89 \%?

P.-S.

La reacción entre el permanganato y el oxalato sigue una estequiometría 2:5 como puedes ver en la reacción iónica ajustada:

\color[RGB]{2,112,20}{\textbf{\ce{5C_2O_4^{2-} + 2MnO_4^- + 16H^+ -> 2Mn^{2+} + 10CO_2 + 8H_2O}}}

Las masas moleculares de ambos compuestos son:

\ce{Na2C2O4}:\ 2\cdot 23 + 2\cdot 12 + 4\cdot 16 = 134\ \textstyle{g\over mol}
\ce{KMnO4}:\ 1\cdot 39 + 1\cdot 55 + 4\cdot 16 = 158\ \textstyle{g\over mol}

Siguiendo la estequiometría de la reacción puedes concluir que 670 g de \ce{Na2C2O4} reaccionan con 316 g de \ce{KMnO4} . Aplicas esta relación a la masa de oxalato de sodio puro:

0.1989\ \cancel{g\ imp}\cdot \frac{99.89\ g\ puro}{100\ \cancel{g\ imp}} = 0.1978\ \text{g\ puro}

0.1978\ \cancel{g\ \ce{Na2C2O4}}\cdot \frac{316\ g\ \ce{KMnO4}}{670\ \cancel{g\ \ce{Na2C2O4}}} = \color[RGB]{0,112,192}{\bm{9.329\cdot 10^{-2}}\ \textbf{g\ \ce{KMnO4}}}

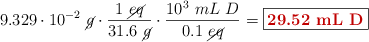
Como la disolución tiene concentración normal, la masa de un equivalente de \ce{KMnO4} es la masa molecular dividido por 5 porque son cinco los electrones que acepta el anión permanganato para reducirse el manganeso. Calculamos el volumen usando factores de conversión:

9.329\cdot 10^{-2}\ \cancel{g}\cdot \frac{1\ \cancel{eq}}{31.6\ \cancel{g}}\cdot \frac{10^3\ mL\ D}{0.1\ \cancel{eq}} = \fbox{\color[RGB]{192,0,0}{\bf 29.52\ mL\ D}}