Velocidad y distancia que recorre un bloque que roza al aplicarle una fuerza (6579)

, por F_y_Q

Un bloque de 50 kg está en reposo sobre una mesa horizontal. Sobre él se aplica una fuerza de 20 kp durante 3 s. ¿Qué velocidad adquiere el bloque en ese tiempo sabiendo que la fuerza de rozamiento entre el bloque y la mesa es de 12.5 kp? ¿Qué distancia recorre en ese tiempo?

P.-S.

Sobre el bloque actúan dos fuerzas de distinto signo por lo que la fuerza neta sobre el bloque es:

F_T = F - F_R = (20 - 12)\ kp = 8\ kp

Debes convertir esta fuerza a newton para que el problema sea homogéneo:

8\ \cancel{kp}\cdot \frac{9.8\ N}{1\ \cancel{kp}} = 78.4\ N

Aplicas la segunda ley de la dinámica y calculas la aceleración que adquiere el bloque:

F_T = m\cdot a\ \to\ a = \frac{F_T}{m} = \frac{78.4\ N}{50\ kg} = \color[RGB]{0,112,192}{\bm{1.57\ \frac{m}{s^2}}}

Suponiendo que parte del reposo, la velocidad que adquiere a los 3 s:

v = \cancelto{0}{v_0} + at\ \to\ v = 1.57\ \frac{m}{s\cancel{^2}}\cdot 3\ \cancel{s} = \fbox{\color[RGB]{192,0,0}{\bm{4.71\ \frac{m}{s}}}}


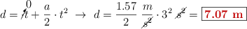
La distancia que recorre es:

d = \cancelto{0}\cdot t + \frac{a}{2}\cdot t^2\ \to\ d = \frac{1.57}{2}\ \frac{m}{\cancel{s^2}}\cdot 3^2\ \cancel{s^2} = \fbox{\color[RGB]{192,0,0}{\bf 7.07\ m}}