Velocidad tras un choque elástico y coeficiente de restitución (6665)

, por F_y_Q

Una partícula de 300 g de masa se dirige hacia la derecha con una rapidez constante de 10 \ \textstyle{m\over s} . En sentido contrario, una partícula de 500 g de masa viaja con rapidez constante de 6 \ \textstyle{m\over s} . En un instante, las partículas chocan frontalmente y siguen separadas tras la colision. Si se sabe que durante el choque se disipo un 30 \% de la energía, calcula:

a) Las velocidades de las partículas inmediatamente después de la colisión.

b) El coeficiente de restitución.

P.-S.

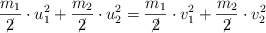
Para hacer el ejercicio debes tratar la situación como un choque elástico, aunque no perfectamente elástico. En este tipo de colisiones se han de conservar la cantidad de movimiento y la energía cinética del sistema. Las ecuaciones que se deben cumplir son:

m_1\cdot u_1 + m_2\cdot u_2 = m_1\cdot v_1 + m_2\cdot v_2

\frac{m_1}{\cancel{2}}\cdot u_1^2 + \frac{m_2}{\cancel{2}}\cdot u_2^2 = \frac{m_1}{\cancel{2}}\cdot v_1^2 + \frac{m_2}{\cancel{2}}\cdot v_2^2

a) Como las velocidades iniciales tienen sentido contrario debes considerar que una de ellas es positiva y la otra negativa, por ejemplo, tomando hacia la derecha positivo y sustituyendo los valores del enunciado, las ecuaciones quedan como:

0.3\cdot 10 - 0.5\cdot 6 = m_1\cdot v_1 + m_2\cdot v_2\ \to\ \color[RGB]{2,112,20}{\bf v_2 = -0.6v_1}

0.7\Big(0.3\cdot 10^2 + 0.5\cdot 6^2\Big) = 0.3\cdot v_1^2 + 0.5\cdot v_2^2\ \to\ \color[RGB]{2,112,20}{\bm{0.3v_1^2 + 0.5v_2^2 = 33.6}}

Sustituyes en la segunda ecuación y resuelves:

0.3v_1^2 + 0.18v_1^2 = 33.6\ \to\ v_1 = \sqrt{\frac{33.6}{0.48}} = \fbox{\color[RGB]{192,0,0}{\bm{8.37\ \frac{m}{s}}}}


La velocidad de la segunda partícula es:

v_2 = -0.6\cdot 8.37\ \frac{m}{s} = \fbox{\color[RGB]{192,0,0}{\bm{-5.02\ \frac{m}{s}}}}


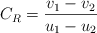
b) El coeficiente de restitución es el cociente entre la velocidad relativa de las partículas después del choque y la velocidad relativa de la partículas antes del choque:

C_R = \frac{v_1 - v_2}{u_1 - u_2}

Solo tienes que sustituir los valores de las velocidades:

C_R = \frac{(8.37 + 5.02)\ \cancel{\frac{m}{s}}}{(10 + 6)\ \cancel{\frac{m}{s}}} = \fbox{\color[RGB]{192,0,0}{\bf 0.84}}