Velocidad orbital y aceleración centrípeta de la Luna (6353)

, por F_y_Q

Determina de forma aproximada la velocidad angular, la velocidad tangencial y la aceleración centrípeta de la Luna en su órbita alrededor de la Tierra (suponiendo que es circular). Busca los datos que necesites en Internet.

P.-S.

La velocidad orbital de un satélite sigue la ecuación:

\color[RGB]{0,112,192}{\bm{v = \sqrt{\frac{G\cdot M_T}{d}}}}


Como puedes ver, depende de la masa del cuerpo celeste sobre el que orbita el satélite y de la distancia entre los centros de ambos cuerpos.
La distancia entre los centros de la Tierra y la Luna es de \color[RGB]{2,112,20}{\bm{d = 3.84\cdot 10^8\ m}} y la masa de la Tierra es \color[RGB]{2,112,20}{\bm{M_T = 5.97\cdot 10^{24}\ kg}}:

v = \sqrt{\frac{6.67\cdot 10^{-11}\ \frac{N\cdot m\cancel{^2}}{kg\cancel{^2}}\cdot 5.97\cdot 10^{24}\ \cancel{kg}}{3.84\cdot 10^8\ \cancel{m}}} = \fbox{\color[RGB]{192,0,0}{\bm{1.02\cdot 10^3\ \frac{m}{s}}}}


La velocidad angular la puedes obtener si tienes en cuenta la relación entre ella y la velocidad lineal:

v = \omega\cdot d\ \to\ \omega = \frac{v}{d} = \frac{1.02\cdot 10^3\ \frac{\cancel{m}}{s}}{3.84\cdot 10^8\ \cancel{m}} = \fbox{\color[RGB]{192,0,0}{\bm{2.66\cdot 10^{-6}\ s^{-1}}}}


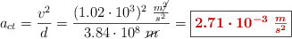
La aceleración centrípeta es:

a_{ct} = \frac{v^2}{d} = \frac{(1.02\cdot 10^3)^2\ \frac{m\cancel{^2}}{s^2}}{3.84\cdot 10^8\ \cancel{m}} = \fbox{\color[RGB]{192,0,0}{\bm{2.71\cdot 10^{-3}\ \frac{m}{s^2}}}}