Velocidad orbital de un satélite sobre la Tierra (5144)

, por F_y_Q

Un satélite está en órbita a una altura aproximada de 36 000 km sobre un punto en el ecuador terrestre. Si el radio aproximado de la tierra de 6 000 km, calcula la velocidad de translacion del satélite en km/h.

Dato: g  = 9.8\ m\cdot s^{-2}

P.-S.

La condición que se ha de cumplir en el giro del satélite es que la fuerza de atracción gravitatoria sobre el satélite tiene que ser igual a la fuerza centrípeta:

F_G  = F_{ct}\ \to\ G\cdot \frac{M_T\cdot \cancel{m}}{(R_T + h)\cancel{^2}} = \cancel{m}\cdot \frac{v^2}{\cancel{(R_T + h)}}\ \to\ \color[RGB]{2,112,20}{\bm{v = \sqrt{\frac{G\cdot M_T}{(R_T + h)}}}}

Podemos escribir el producto G \cdot M_T en función de g:

g  = G\cdot \frac{M_T}{R_T^2}\ \to\ G\cdot M_T = g\cdot R_T^2

v = \sqrt{\frac{g\cdot R_T^2}{(R_T + h)}} = \sqrt{\frac{9.8\ \frac{\cancel{m}}{s^2}\cdot (6\cdot 10^6)^2\ m^2}{(6\cdot 10^6 + 3.6\cdot 10^7)\ \cancel{m}}} = \fbox{\color[RGB]{192,0,0}{\bm{2.9\cdot 10^3\frac{m}{s}}}}


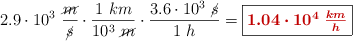
Si expresamos el resultado en km/h:

2.9\cdot10^3\ \frac{\cancel{m}}{\cancel{s}}\cdot \frac{1\ km}{10^3\ \cancel{m}}\cdot \frac{3.6\cdot 10^3\ \cancel{s}}{1\ h} = \fbox{\color[RGB]{192,0,0}{\bm{1.04\cdot 10^4\ \frac{km}{h}}}}