Velocidad inicial, dirección y masa de un cuerpo lanzado parabólicamente (5900)

, por F_y_Q

La gráfica representa la energía cinética en función de la posición vertical, para una partícula que sigue una trayectoria parabólica. De acuerdo con los datos suministrados, halla la masa de la partícula y la velocidad inicial y dirección de lanzamiento.

P.-S.

En la gráfica podemos ver el valor de la enegía cinética para distintas alturas de la partícula. Al ser un lanzamiento parabólico hay que tener en cuenta que la velocidad inicial tiene dos componentes y la gráfica solo da cuenta del desplazamiento vertical, eso explica que la energía cinética, cuando la altura es máxima, no sea cero.
Vamos a aprovechar ese dato para hacer el primer cálculo. Relacionamos los valores de energía cinética inicial y en el punto de máxima altura:

\frac{E_C(1)}{E_C(3)} = \frac{\cancel{\frac{m}{2}}\cdot (v_{0x}^2 + v_{0y}^2)}{\cancel{\frac{m}{2}}\cdot v_{0x}^2} = \frac{16.2\ \cancel{J}}{6.4\ \cancel{J}}\ \to\ 6.4(v_{0x}^2 + v_{0y}^2) = 16.2v_{0x}^2

Desarrollamos y despejamos y obtenemos:

9.8v_{0x}^2 = 6.4v_{0y}^2\ \to\ v_{0x}^2 = 0.653v_{0y}^2

Si escribimos las componentes de la velocidad inicial en función del ángulo de lanzamiento:

v_0^2\cdot cos^2\ \alpha = 0.653\cdot v_0^2\cdot sen^2\ \alpha\ \to\ tg\ \alpha = \sqrt{\frac{1}{0.653}}

El ángulo de lanzamiento se obtiene haciendo la inversa de la tangente:

\alpha = arctg\ 1.237 = \fbox{\color[RGB]{192,0,0}{\bm{51^o}}}


En el punto de máxima altura se tiene que cumplir que la suma de la energía potencial y la cinética sea igual a la energía cinética en el punto de lanzamiento:

E_C(1) = E_C(3) + E_P(3)\ \to\ \frac{1}{2}\cancel{m}\left(v_{0x}^2 + v_{0y}^2\right)  = \frac{1}{2}\cancel{m}v_{0x}^2 + \cancel{m}gh

Al final obtenemos:

\frac{1}{2}v_{0y}^2 = gh\ \to\ v_{0y} = \sqrt{2gh} = \sqrt{2\cdot 9.8\ \frac{m}{s^2}\cdot 10\ m} = \color[RGB]{0,112,192}{\bm{14\ \frac{m}{s}}}

Ahora podemos calcular el valor de la velocidad inicial del lanzamiento:

v_{0y} = v_0\cdot sen\ \alpha\ \to\ v_0 = \frac{v_{0y}}{sen\ \alpha} = \frac{14\ \frac{m}{s}}{sen\ 51} = \fbox{\color[RGB]{192,0,0}{\bm{18\ \frac{m}{s}}}}


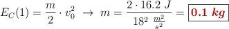
La masa del objeto es inmediata a partir del dato de la energía cinética inicial:

E_C(1) = \frac{m}{2}\cdot v_0^2\ \to\ m = \frac{2\cdot 16.2\ J}{18^2\ \frac{m^2}{s^2}} = \fbox{\color[RGB]{192,0,0}{\bm{0.1\ kg}}}