Velocidad de lanzamiento de una pelota para encestar sin tocar el tablero (6799)

, por F_y_Q

Un jugador de baloncesto de 1.95 m de altura lanza un tiro a la canasta situada a 3.05 m de altura desde una distancia horizontal de 9.6 m. Si el ángulo de tiro es de 38^o con la horizontal, ¿con qué velocidad inicial debe tirar de manera que el balón entre al aro sin golpear el tablero?

P.-S.

Al ser un lanzamiento parabólico, las ecuaciones de la posición de la pelota en función del tiempo son:

\left x = v_0\cdot t\cdot cos\ \alpha  \atop y  = v_0\cdot t\cdot sen\ \alpha - \frac{g}{2}\cdot t^2 \right \}

Conoces la distancia desde la que se lanza la pelota (x = 9.6 m) y también la altura que debe subir la pelota (y = 1.1 m), que es la diferencia entre la altura desde la que es lanzada y la altura de la canasta. Si despejas el tiempo de la primera ecuación y lo sustituyes en la segunda:

y = \frac{\cancel{v_0}\cdot x\cdot sen\ \alpha}{\cancel{v_0}\cdot cos\ \alpha} - \frac{g}{2}\cdot \frac{x^2}{v_0^2\cdot cos^2\ \alpha}  =  x\cdot tg\ \alpha - \frac{g\cdot x^2}{2v_0^2\cdot cos^2\ \alpha}

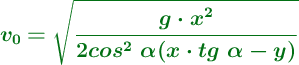
Ahora despejas el valor de la velocidad inicial del lanzamiento:

\color[RGB]{2,112,20}{\bm{v_0= \sqrt{\frac{g\cdot x^2}{2cos^2\ \alpha(x\cdot tg\ \alpha - y)}}}}

Solo tienes que sustituir los datos y calcular:

v_0  = \sqrt{\frac{9.8\ \frac{\cancel{m}}{s^2}\cdot 9.6^2\ m^2}{2\cdot cos^2\ 38^o\cdot (9.6\cdot tg\ 38^o - 1.1)\ \cancel{m}}}  = \fbox{\color[RGB]{192,0,0}{\bm{10.7\ \frac{m}{s}}}}