Variación del pH en la neutralización del HCl con NaOH (6646)

, por F_y_Q

Se valora una disolución de 25 mL de HCl 0.2 M con una disolución de NaOH 0.2 M.

a) ¿ Cuál será el pH cuando se añaden 24.98 mL de NaOH?

b) ¿ Cuál será el pH después de agregar 25.02 mL de NaOH?

c) ¿ Cuál será el indicador a utilizar en esta volumetría?

P.-S.

Dado que las concentraciones de las disoluciones son iguales y que el ácido y la base solo tienen un protón e hidroxilo respectivamente, la neutralización ocurre cuando los volúmenes de ambos son iguales.

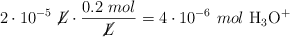
a) Si se añaden 0.02 mL menos de base, habrá exceso de ácido y el pH ha de ser menor de 7. Calculas primero los moles de \ce{H3O^+} que quedan sin reaccionar:

2\cdot 10^{-5}\ \cancel{L}\cdot \frac{0.2\ mol}{\cancel{L}} = 4\cdot 10^{-6}\ mol\ \ce{H3O+}

El volumen en el que están esos moles de hidronio es: (25 + 24.98)\cdot 10^{-3} = 4.998\cdot 10^{-2}\ L

La concentración de hidronio es:

[\ce{H3O+}] = \frac{4\cdot 10^{-6}\ mol}{4.998\cdot 10^{-2}\ L} = \color[RGB]{0,112,192}{\bf 8\cdot 10^{-5}\ M}

El pH que corresponde a esa concentración es:

pH = -log\ [\ce{H3O+}] = -log\ 8\cdot 10^{-5} = \fbox{\color[RGB]{192,0,0}{\bf 4.1}}


b) Ahora habrá exceso de hidroxilo porque el volumen de base es mayor que el de ácido. Los cálculos son análogos pero referidos al \ce{OH-} por lo que lo que calculas al final es el valor del pOH, que sería también 4.1. Como te piden el pH:

pH = 14 - 4.1 = \fbox{\color[RGB]{192,0,0}{\bf 9.9}}


c) El indicador a utilizar sería la fenolftaleína porque tiene un intervalo de viraje de pH entre 8.3 y 10.