Variación del campo gravitatorio terrestre con la profundidad (7694)

, por F_y_Q

¿Qué profundidad tendría que tener un pozo orientado hacia el centro de la Tierra para que la intensidad del campo gravitatorio en el fondo fuese la misma que a una altitud de 6 400 km sobre la superficie de la Tierra?

P.-S.

Lo primero que debes tener en cuenta son las ecuaciones que proporcionan los valores del campo en el caso de una altura y una profundidad con respecto al campo en la superficie:

\left g = g_0\cdot \dfrac{R_T^2}{(R_T + h)^2} \atop g^{\prime} = g_0\cdot \dfrac{(R_T - h^{\prime})}{R_T} \right \}

Si impones la condición de que ambos valores tienen que ser iguales obtienes una ecuación que es:

\cancel{g_0}\cdot \frac{R_T^2}{(R_T + h)^2} = \cancel{g_0}\cdot \frac{(R_T - h^{\prime})}{R_T}\ \to\ \color[RGB]{2,112,20}{\bm{h^{\prime} = R_T - \frac{R_T^3}{(R_T + h)^2}}}

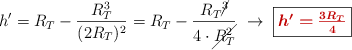
La altura que estás considerando es igual al radio de la Tierra. Si tienes esto en cuenta en la expresión anterior, obtienes la siguientes relación:

h^{\prime} = R_T - \frac{R_T^3}{(2R_T)^2} = R_T - \frac{R_T\cancel{^3}}{4\cdot \cancel{R_T^2}}\ \to\ \fbox{\color[RGB]{192,0,0}{\bm{h^{\prime} = \frac{3R_T}{4}}}}


Tomando como valor del radio los 6 400 km, el pozo debería tener una profundidad de \fbox{\color[RGB]{192,0,0}{\bf 4\ 800\ km}}