Variación de la densidad de un gas 0001

, por F_y_Q

Un mol de un gas ocupa 25 L y su densidad es 1,25 g/L, a una temperatura y presión determinadas. Calcula la densidad del gas en condiciones normales.

P.-S.

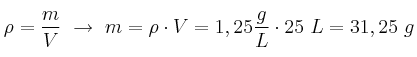
La densidad del gas será el cociente entre la masa de gas, que es constante, y el volumen que ocupa:

\rho = \frac{m}{V}\ \to\ m = \rho\cdot V = 1,25\frac{g}{L}\cdot 25\ L = 31,25\ g


Cuando esté en condiciones normales ocupará un volumen de 22,4 L, según la ley de Avogadro. Por lo tanto su densidad será:

\rho = \frac{m}{V} = \frac{31,25\ g}{22,4\ L} = \bf 1,40\frac{g}{L}