Titulación de una disolución de ácido sulfúrico (3682)

, por F_y_Q

Una muestra de 15 mL de una disolución de ácido sulfúrico de molaridad desconocida se titula con 32.4 mL de NaOH 0.45 M hasta punto final de titulación con azul de bromotimol. De acuerdo con esos datos, ¿cuál es la molaridad de la disolución de ácido sulfúrico \ce{H_2SO_4}, teniendo en cuenta la siguiente reacción:

\ce{H2SO4 + 2NaOH -> 2H2O + Na2SO4}

P.-S.

En una neutralización se debe cumplir siempre que el número de protones sea igual al número de grupo hidróxido. Puedes escribir esta condición en función de la concentración de las disoluciones y el volumen empleado pero, eso sí, teniendo en cuenta el número de \ce{H^+} o de \ce{OH^-} que aportan el ácido y la base. En la reacción del enunciado, puedes ver que el ácido aporta dos protones y la base solo un grupo hidróxido. La ecuación que empleas es:

\color[RGB]{2,112,20}{\bm{M_{ac}\cdot V_{ac}\cdot n_{\ce{H^+}} = M_b\cdot V_b\cdot n_{\ce{OH^-}}}}

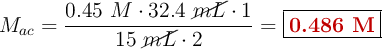
Despejando la concentración molar del ácido y sustituyendo:

M_{ac} = \frac{0.45\ M\cdot 32.4\ \cancel{mL}\cdot 1}{15\ \cancel{mL}\cdot 2} = \fbox{\color[RGB]{192,0,0}{\bf 0.486\ M}}