Tiempo y fuerza de frenado que actúan sobre un vehículo (4961)

, por F_y_Q

Un automóvil de 2 000 kg, moviéndose a 80 km/h, puede llevarse al reposo en 75 m con una fuerza de frenado constante. ¿Cuánto tiempo tardará en detenerse? ¿Cuál es la fuerza necesaria para detener el coche?

P.-S.

En primer lugar, debes hacer un cambio de unidades para expresar la velocidad en unidades del Sistema Internacional:

80\ \frac{\cancel{km}}{\cancel{h}}\cdot \frac{10^3\ m}{1\ \cancel{km}}\cdot \frac{1\ \cancel{h}}{3.6\cdot 10^3\ s} = \color[RGB]{0,112,192}{\bm{22.22\ \frac{m}{s}}}

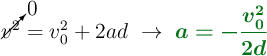
Para poder determinar el tiempo de frenado es necesario conocer la aceleración que sufre el automóvil. La velocidad final será cero y puedes despejar la aceleración de la siguiente ecuación:

\cancelto{0}{v^2} = v_0^2 + 2ad\ \to\ \color[RGB]{2,112,20}{\bm{a = -\frac{v_0^2}{2d}}}

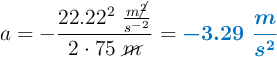
Sustituyes y calculas:

a = -\frac{22.22^2\ \frac{m\cancel{^2}}{s^{-2}}}{2\cdot 75\ \cancel{m}} = \color[RGB]{0,112,192}{\bm{-3.29\ \frac{m}{s^2}}}

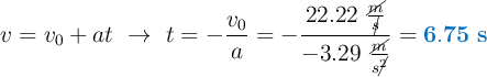
Escribes la variación de la velocidad en función del tiempo de frenado y calculas ese tiempo:

v = v_0 + at\ \to\ t = -\frac{v_0}{a} = -\frac{22.22\ \frac{\cancel{m}}{\cancel{s}}}{-3.29\ \frac{\cancel{m}}{s\cancel{^2}}} = \color[RGB]{0,112,192}{\bf 6.75\ s}

La fuerza necesaria para deterner el vehículo la obtienes a partir de la segunda ley de la dinámica:

F = m\cdot a\ \to\ F = 2\cdot 10^{3}\ kg\cdot (-3.29)\ \frac{m}{s^2} = \fbox{\color[RGB]{192,0,0}{\bm{-6.58\cdot 10^3\ N}}}