Temperatura final de un gas al duplicar la presión reducir el volumen

, por F_y_Q

¿Cuál será la temperatura final de un gas que está a 20^oC cuando se duplica su presión y el volumen se reduce a un tercio del volumen inicial?

P.-S.

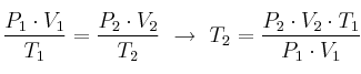
A partir de la ecuación general de los gases podemos despejar la temperatura final del sistema:

\frac{P_1\cdot V_1}{T_1} = \frac{P_2\cdot V_2}{T_2}\ \to\ T_2 = \frac{P_2\cdot V_2\cdot T_1}{P_1\cdot V_1}


T_2 = \frac{2\cancel{P_1}\cdot \frac{\cancel{V_1}}{3}\cdot 293\ K}{\cancel{P_1}\cdot \cancel{V_1}} = \bf 195.3\ K