Temperatura de un gas para que reduzca su volumen 0001

, por F_y_Q

Se tienen 5 L de aire, a presión constante, a una temperatura de 28 ºC. ¿Hasta qué temperatura debe enfriarse el aire para disminuir su volumen en un 50\%?

P.-S.

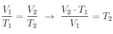
Como el sistema está a presión constante debemos aplicar la ley de Charles:
\frac{V_1}{T_1} = \frac{V_2}{T_2}\ \to\ \frac{V_2\cdot T_1}{V_1} = T_2
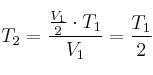
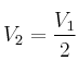
Consideramos que V_2 = \frac{V_1}{2}:
T_2 = \frac{\frac{V_1}{2}\cdot T_1}{V_1} = \frac{T_1}{2}
La temperatura ha de estar expresada en escala absoluta:

T_2 = \frac{(28 + 273)\ K}{2} = \bf 150,5\ K