¿Sería posible usar HCl en lugar de vinagre como alimento?

, por F_y_Q

¿Cuál es el efecto de usar una solución de ácido clorhídrico al 5\% en vez de usar vinagre al 5\% como alimento?

P.-S.

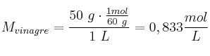
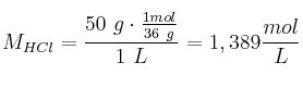
Dado que son disoluciones diluidas podemos suponer sus densidades muy parecidas a las del agua, por lo que un litro de cada solución contendría 50 g de soluto. La molaridad de las disoluciones sería distinta porque lo son sus masas moleculares:
M_{vinagre} = \frac{50\ g\cdot \frac{1mol}{60\ g}}{1\ L} = 0,833\frac{mol}{L}
M_{HCl} = \frac{50\ g\cdot \frac{1mol}{36\ g}}{1\ L} = 1,389\frac{mol}{L}
La disolución de HCl es mucho más concentrada que la de ácido acético. Además el ácido clorhídrico es un ácido fuerte, por lo que está completamente disociado. El pH que corresponde a su disolución es:
pH = -log\ 1,389 = 0,14
Es un pH extremadamente ácido que provocaría daños muy importantes en la boca y las vías digestivas superiores.